Limang Parte Ng Banghay
Pagtanggap sa mga pagbabago sa katawan at paglapat ng tamang pamamahala sa mga ito. 1 Malaman ang Layunin at mga dapat isaalang-alang.

Grade 6 Aralin 1 50 Words Formative Assessment Grade
Naipapahayag ang pagpapahalaga sa pagkatoto ukol sa pagkakahati ng Asya.

Limang parte ng banghay. Banghay Ito ay ang pagkakasunod ng mga pangyayari. BANGHAY PLOT-Sistematikong pagkakasunod-sunod ng mga pangyayari-Ang kabuuan nito ay mapapatibay sa temamensahe ng maikling kwento-Kung tutuusin mas mahalaga ang banghay kasysa sa istorya-Para matandaan tingnan ang mga sumusunod na porma. Ang banghay ng isang epiko ay nahahati sa limang bahagi.
Nabibigyang halaga at nauunawan ang anu mang uri ng huni ng mga hayop at. Naibibigay ang ibat-ibang huni o ingay na nagagawa ng hayop. METODO NG PANANALIKSIK.
Natutukoy ang limang mahahalagang elemento ng maikling kwento. Natatalakay ang paghahating heograpiko ng Asya ayon sa makalumang batayan at makabagong batayan. Ang banghay-aralin ay maaaring tanawin bilang isang iskrip na sinusunod ng guro sa pagtuturo ng isang paksa para sa isang tiyak na oras o panahon.
SIMULA Dito palamang ay. Matatalinhagang salita Ang mga matatalinhagang salita ay ang mga salitang hindi nagbibigay ng direktang kahulugan. Banghay Ito ay tumutukoy sa pagkakasunod-sunod ng mga pangyayari sa kwentoMayroong limang5 bahagi ang banghay.
Masusing Banghay Aralin Sa Filipino 7 Unang Markahan LINGGO 4 Unang Araw I. Paraan ng Pag-sulat 5. 2 Malaman ang bahagi ng talumpati 3 Makabubuo ng isang talumpati II-PAKSANG ARALIN Paksa.
Ika-10 ng Marso 2018 Banghay Aralin I. Setting art elements elements of art. Mayroong tatlong bahagi ang isang banghay.
Ito ang pagkakasunod ng pangyayari sa kwento. Panimula Kung saan at paano nagsimula ang kwento. Ito ay kalimitang may apat o limang bahagi.
Kwento halimbawa ng banghay. BANGHAY NG PAGTUTUR O Ano ang BANGHAY ARALIN. Contextual translation of limang elemento ng banghay at paliwanag into English.
BANGHAY Sa paksang ito ating tatalakayin kung ano ang banghay at ang ibat-ibang mga halimbawa nito na ating makikita. Kahalagahan Mahalaga ang Banghay Aralin dahil dito itinatalaga ang mga impormasyon na kinakailangan ipabatid o ibahagi sa mga mag-aral at ng saganon ay mas. A Family Mystery Antogonistang karakter sa pelikula.
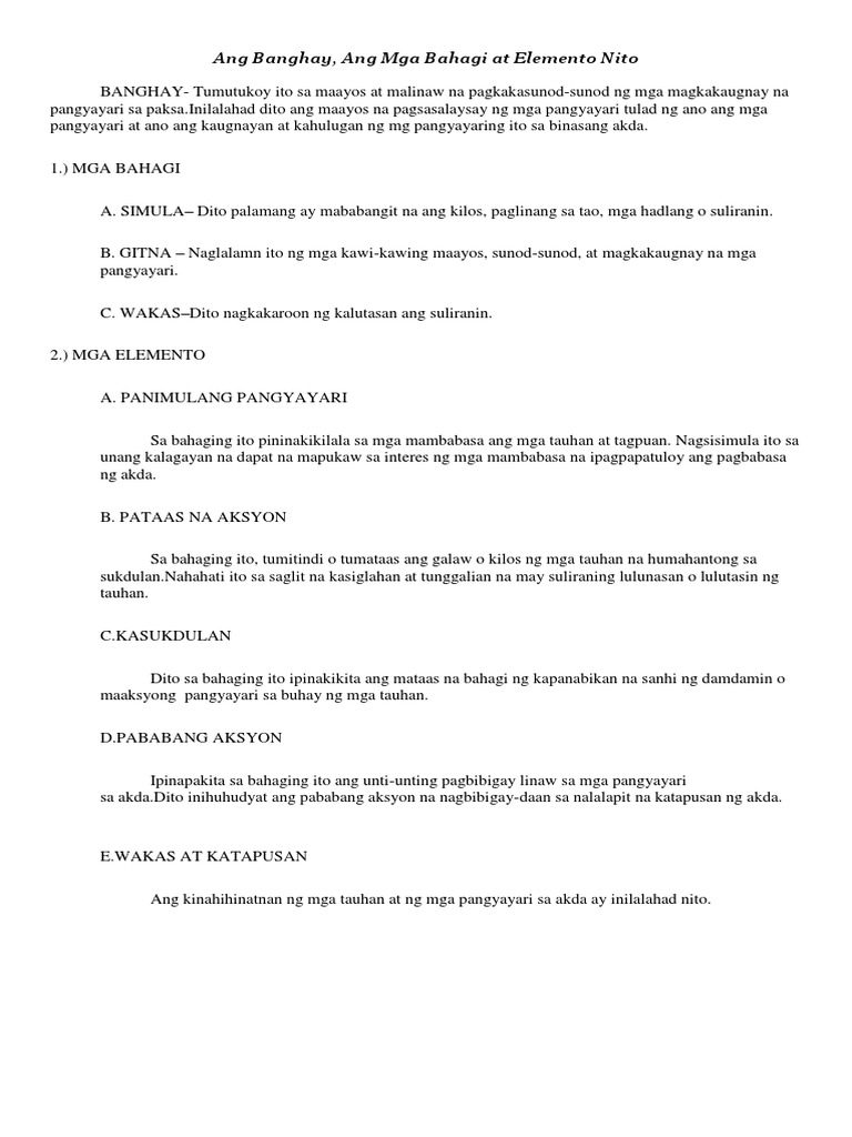
Sa bahaging ito ng pananaliksik tinatalakay ang mga nagawa ng ibat-ibang manunulat at siyentipiko at iba pang eksperto sa isang partikular na larangan. Ang banghay-aralin ay binunuo ng limang mahahalagang bahagi. BANGHAY- Tumutukoy ito sa maayos at malinaw na pagkakasunod-sunod ng mga magkakaugnay na pangyayari sa paksaInilalahad dito ang maayos na pagsasalaysay ng mga pangyayari tulad ng ano ang mga pangyayari at ano ang kaugnayan at kahulugan ng mg pangyayaring ito sa binasang akda.
Ang simula saglit na kasiglahan kaskdulan kakalasan at wakas. Sa loob ng isang oras na talakayan ang mga mag-aaral ay inaasahang. ANG BANGHAY-ARALIN Ang banghay-aralin ay itinuturing na mapa o balangkas ng iyong mga inihandang gawain upang maisakatuparan ang mga layuning nais mong matamo ng iyong mga mag-aaral.
Kakalasan Ito ay tumutukoy sa. Maidaragdag din sa mga sangkap ng dula ang set kostyum make-up lighting at stage directionNgunit dapat tandaang hindi sapat na alam lang ng manunulat ang mga sangkap sa pagsulat ng dulang iisahing yugto. Ang banghay ang siyang elemento ng aksyon.
Lubusan na nitong naisakatuparan ng pangunahing tauhan ang solusyon sa kinaharap na suliranin. Masusing Banghay Ng Pagtuturo IIMala-masusing Banghay IIIMaikling Banghay IMasusing Banghay Ng Pagtuturo itoy ginagamit ng mga bagong guro at. Ang kognitibong layunin na sumusukat sa pag-iisip ng mag-aaral ang apektibo para sa damdamin at saykomotor para sa pagsasagawa ng mga natutunan.
Natutukoy ang dinaramdam o mensahing ibig ipaalam ng mga hayop. Maikling Kuwento isang anyo ng tuluyang panitikan na may banghay na kinasasangkutan ng ilang mga tauhan at kadalasang umiikot sa isang suliranin. Komunikasyon sa Akademikong Filipino pahina150-152 Kagamitan.
Banghay Aralin 1. Magandang banghay pangit na istorya magandang maikling kwento b. Ito ay maaring maging payak o kompikado.
Dayagram ng Banghay. Ang maikling kwento ay may limang banghay at ito ay ang mga sumusunod. Simula - paglalahad o paglalarawan sa tauhan tagpuan o maaaring mailahad agad ang suliranin.
Tulad ng iba pang naratibong komposisyon ang mga sangkap ng dula ay binubuo ng tauhan tagpuan banghay at diyalogo. Detalyadong Banghay Aralin sa. 1 MGA BAHAGI A.
Ang kasukdulan ay ang pinakaka-panabik na parte kung saan kasalukuyang hinaharap ng pangunahing tauhan ang suliranin. Ang banghay o outline ay tumutukoy sa maayos at malinaw na pagkakasunod-sunod ng mga pangyayari sa kwento o paksaNakalahad dito ng maayos ang mga pasalaysay na pangyayari tulad ng kung ano at ano ang kahulugan ng mga pangyayari sa paksa. Maaari rin itong matawag na balangkas.
Mala-Susing Banghay Aralin Sa Filipino 3 I-LAYUNIN Pagkatapos ng talakayanang mga mag-aaral ay inaasahang. Human translations with examples. Banghay ng maikling kuwento.
Pagtamo ng bago at ganap na pakikipag-ugnayan more mature relations sa mga kasing edad. Pagkatapos ng talakayan ang mga mag-aaral ay inaasahang. Ang mga layunin ay dapat na nakatuon sa tatlong aspeto.
Mga Layunin IIPaksang Aralin IIIPamaraan IVTakdang Aralin May tatlong uri ng kayarian ang pang-araw- araw na banghay ng pagtuturo. Pagtanggap ng papel sa lipunan na angkop sa babae o lalaki. Ang banghay-aralin ay isang plano ng mga aralin ng isang guro.
Ito ang huling bahagi ng banghay. Binibigyang pagpapahalaga sa bahaging ito ang ilang mga batas prinsipyo paglalahat mga konsepto pagpapakahulugan at mga teorya na maaaring maiangkop sa ginagawang. BANGHAY Sa paksang ito ating tatalakayin kung ano ang banghay at ang ibat-ibang mga halimbawa nito na ating makikita.
Saglit na Kasiglahan Ito ay ang panandaliang pagtatagpo ng mga tauhan sa kwento. Ang isang banghay ay naglalarawan sa maayos at konkretong pagkakasunod-sunod ng mga kaganapan ng sa isang paksa o sa isang kwento. Dito nakalagay kung ano ang magiging takbo ng talakayan sa araw-araw.
Banghay ng Maikling Kuwento I. Kasukdulan Dito na nangyayari ang problema sa kwento. Itoy isang balangkas ng.
Pagtamo at pagtanggap ng katanggap-tanggap na asal sa pakikipagkapwa. Banghay ng Maikling Kuwento. Ngayon sumulat kayo ng tatlo-limang talata bawat talata ay binubuo ng 4 na linya na gumagamit ng pang-uri at pang-abay.
Naibabahagi ang mga bansang kabilang sa Asya. Ang layunin paksang-aralin pamamaraan evalwasyon at kasunduan. Pinakamataas na tensyon sa kwento.
Dito unti-unting nasusulusyunan ng pangunahing tauhan ang suliranin.
Kind Kinder Teachers Cot Im S Lesson Plan And Worksheet Facebook
0 komentar: